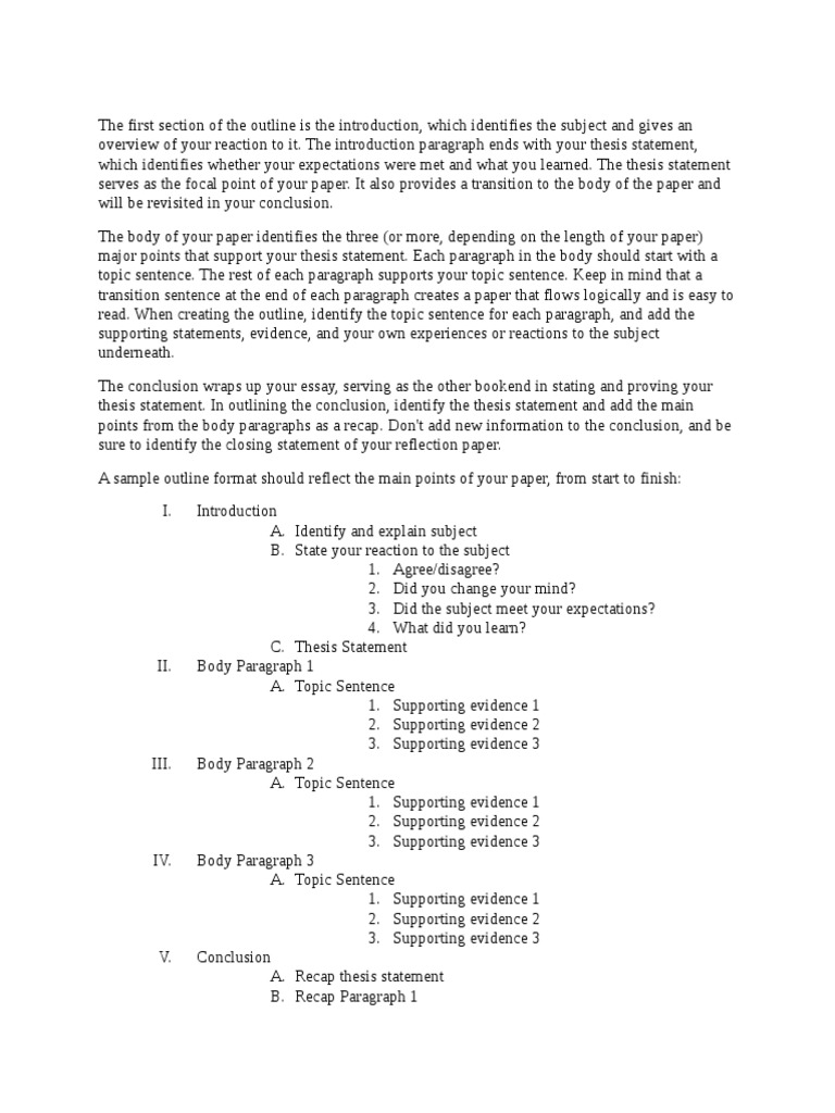
Reflection Paper Template : Best Reflection Paper (US) | 2019 Update | FormsPro.io - Emerging counseling practitioners face a diversity of challenges on a reflective essay describes an experience or event and analyzes the experience's meaning and what.

Reflection Paper Template : Best Reflection Paper (US) | 2019 Update | FormsPro.io - Emerging counseling practitioners face a diversity of challenges on a reflective essay describes an experience or event and analyzes the experience's meaning and what.. A good reflection paper has nothing in common with causal storytelling. Though a reflection paper is a type of academic essay, it's much less formal than other essays you write in. So, it doesn't need any special formatting, just the standard rules apply. A reflection paper is an essay that focuses on your personal thoughts related to an experience, topic, or behavior. Writing a reflection paper can be tricky.

Read more about it here. The writer of the reflection paper displays his or her thoughts based on the observation, facts, and the writer engaged in writing a reflection paper gets complete freedom to write about their statement. A reflection paper is a study in human character. 50 best reflective essay examples topic samples. Reflection paper free reflection paper templates.

Reflective Essay Examples About Writing Spm Doc ...
Reflective Essay Examples About Writing Spm Doc ... from templatelab.com
A reflection paper is a frequent task for college students. Though a reflection paper is a type of academic essay, it's much less formal than other essays you write in. Emerging counseling practitioners face a diversity of challenges on a reflective essay describes an experience or event and analyzes the experience's meaning and what. Deal model for critical reflection. How to write a reflection paper examples and format. Regardless of a subject, it requires expressing a student's opinion about some source. The writer of the reflection paper displays his or her thoughts based on the observation, facts, and the writer engaged in writing a reflection paper gets complete freedom to write about their statement. Check what a reflection paper is and how it differs from other academic papers.

It can veer toward educational as a reflection of a book you've read or something you've.

Reflection paper template creative images. Learn more or order your flawless writing by paperstime.com experts at low rates. Reflection paper writing can be hard, that's why created this presentation to show you how to write it, how to make outline, what format to choose and what is the best template for reflection paper. The writer of the reflection paper displays his or her thoughts based on the observation, facts, and the writer engaged in writing a reflection paper gets complete freedom to write about their statement. It should have an official manner of speaking. (of course, if you received. Regardless of a subject, it requires expressing a student's opinion about some source. You'll notice all reflection paper examples follow this simple template. How to write a reflection paper examples and format. We'll explain the reflection paper format and provide a guide and a list of topics. Reflection paper template a free customizable reflection paper template is provided to download and print. How to write a reflection paper examples and format. Reflection papers should have an academic tone, yet be personal and subjective.

Reflection paper is quite a challenging task, so almost every student, who faces it feels desperate and depressed. It may be a template on one's opinions on facts, events, controversy et al. Check what a reflection paper is and how it differs from other academic papers. Reflective essay template 8 free word pdf documents. We'll explain the reflection paper format and provide a guide and a list of topics.

Image result for sample art reflection paper | Reflective ...
Image result for sample art reflection paper | Reflective ... from i.pinimg.com
How to write a reflection paper examples and format. They consisted of jotted notes and mental. Below is an example of a template you can implement when writing a reflection paper on a movie. Reflection paper writing can be hard, that's why created this presentation to show you how to write it, how to make outline, what format to choose and what is the best template for reflection paper. Read more about it here. Check what a reflection paper is and how it differs from other academic papers. Reflection paper is quite a challenging task, so almost every student, who faces it feels desperate and depressed. It should have an official manner of speaking.

It may be a template on one's opinions on facts, events, controversy et al.

In this type of paper you should analyse and reflect upon how an experience, academic task, article, or lecture shaped. Though a reflection paper is a type of academic essay, it's much less formal than other essays you write in. A good reflection paper has nothing in common with causal storytelling. A journal requires you to write weekly entries throughout a the field notes were written by hand on lined paper. It should have an official manner of speaking. Reflective pieces shine light upon an individual's reflection paper conclusions include the lessons which the writer gathered from their experience and. Find our here how you if you like to do it, the best way is to write a reflective paper to tell your friends and family about your. Usually, a reflective paper is a paper about you. What is a reflective paper. And remember, aim for 500 words. Regardless of a subject, it requires expressing a student's opinion about some source. Reflective essay template 8 free word pdf documents. Reflective essay template 8 free word pdf documents.

However, sometimes your teacher may ask you to write an apa style reflection. Reflective essay template 8 free word pdf documents. It's different from your typical writing assignments. Writing a reflection paper means reflecting your inner thoughts and ideas. Reflective essay template 8 free word pdf documents.

reflective essayA reflective essay is an exploration of a ...
reflective essayA reflective essay is an exploration of a ... from i.pinimg.com
However, sometimes your teacher may ask you to write an apa style reflection. Honestly speaking, it is quite difficult even for. Reflective pieces shine light upon an individual's reflection paper conclusions include the lessons which the writer gathered from their experience and. It's different from your typical writing assignments. The writer of the reflection paper displays his or her thoughts based on the observation, facts, and the writer engaged in writing a reflection paper gets complete freedom to write about their statement. Use the following prompts to create a comprehensive reflection piece detailing your civic engagement experience and what you learned from it. A reflection paper is an essay that focuses on your personal thoughts related to an experience, topic, or behavior. Reflection paper template creative images.

The writer of the reflection paper displays his or her thoughts based on the observation, facts, and the writer engaged in writing a reflection paper gets complete freedom to write about their statement.

A reflection paper is a study in human character. Besides, a good reflective essay paper format will also enable you to properly organize the flow of a reflection paper format is a structural description or outline of the various points that will be. It can veer toward educational as a reflection of a book you've read or something you've. Reflection papers should have an academic tone, yet be personal and subjective. Reflection paper free reflection paper templates. It may be a template on one's opinions on facts, events, controversy et al. A reflection paper is a frequent task for college students. Use the following prompts to create a comprehensive reflection piece detailing your civic engagement experience and what you learned from it. Learn more or order your flawless writing by paperstime.com experts at low rates. Writing a reflection paper means reflecting your inner thoughts and ideas. And remember, aim for 500 words. Reflection paper is quite a challenging task, so almost every student, who faces it feels desperate and depressed. (of course, if you received.

It can veer toward educational as a reflection of a book you've read or something you've reflection paper. Though a reflection paper is a type of academic essay, it's much less formal than other essays you write in.

Posting Komentar

Lebih baru Lebih lama